Заведующий лабораторией – д.ф.-м.н. В.С. Лебедев
Ключевые сотрудники:
- Лебедев Владимир Сергеевич, рук. отделения, доктор физ.-мат. наук
- Кондорский Алексей Дмитриевич – снс, кандидат физ.-мат. наук
- Нариц Александр Александрович – снс, кандидат физ.-мат. наук
- Толстихина Инга Юрьевна – снс, кандидат физ.-мат. наук
- Шевелько Вячеслав Петрович – внс, доктор физ.-мат. наук
Молодые сотрудники и аспиранты
- Кислов Константин Сергеевич – с.н.с., кандидат физ.-мат. наук
- Мекшун Арсений Владимирович – м.н.с., аспирант МФТИ
- Моритака Сергей Сэидзирович – м.н.с., аспирант МФТИ
Направления исследований
- Нанофотоника, наноплазмоника и наноплекситоника
- Оптика и спектроскопия гибридных наноструктур
- Квантовая динамика и физическая кинетика
- Квантовая теория рассеяния волн и частиц
- Квантовая теория радиационных и столкновительных процессов
- Физика и квантовая химия слабосвязанных и экзотических атомно-молекулярных систем
- Физика многозарядных ионов и пучков заряженных частиц
- Атомная и молекулярная спектроскопия
- Компьютерное моделирование
Основные задачи, решаемые в лаборатории в последние годы, охватывают следующие области исследований
- Гибридная нанофотоника и оптоэлектроника
- Механизмы взаимодействия света с металлоорганическими и полупроводниковыми наночастицами
- Эффекты плазмон-экситонной электромагнитной связи
- Нелинейно-оптические и поляризационные явления при взаимодействии света с упорядоченными агрегатами красителей
- Локализованные световые поля субволновых масштабов
- Фотоэмиссия составных наноантенн под воздействием фемтосекундных лазерных импульсов
- Физика ридберговских атомов и молекул
- Теория дипольно-, квадрупольно- и поляризационно-связанных отрицательных ионов
- Физика гетероядерных молекулярных катионов с малой энергией диссоциации
- Процессы переноса заряда с участием атомно-молекулярных систем.
- Многоэлектронные процессы ионизации и перезарядки с участием тяжёлых ионов.
- Взаимодействие пучков заряженных частиц с газовыми, плазменными и твердотельными средами
- Разработка квантовых и квазиклассических методов теории радиационных и столкновительных процессов
Научные результаты
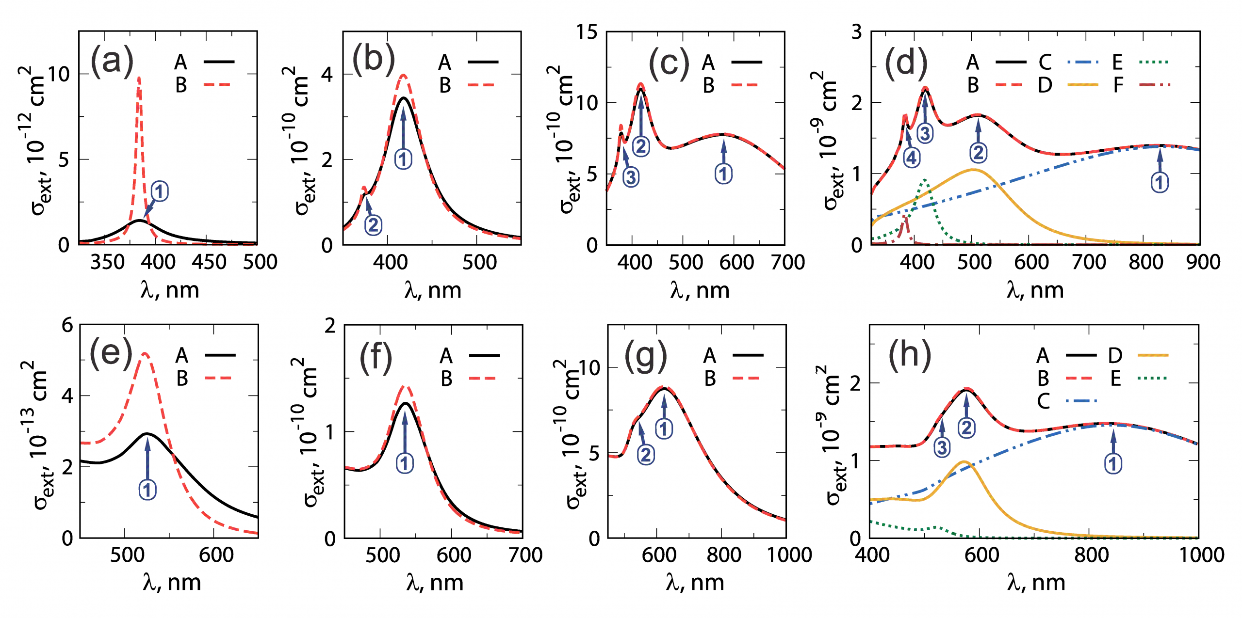
- Обнаружены новые эффекты плазмон-экситонной связи в гибридных металлоорганических наноструктурах, перспективных для их использования в качестве элементной базы фотоники и оптоэлектроники будущего поколения. Предложены и теоретически обоснованы эффективные методы управления их оптическими свойствами.
- Разработана оригинальная теоретическая модель для описания ориентационных эффектов в агрегатах с двумя молекулами в непланарной элементарной ячейке. На ее основе дано объяснение поляризационных спектров поглощения молекулярных агрегатов красителя псевдоизоцианина.
- Выполнены передовые исследования структуры локализованных (эванесцентных) электромагнитных полей в нановолноводах и оптических зондах ближнего поля. Предложены способы радикального повышения их трансмиссионной эффективности.
- Предложен новый механизм формирования энергетических спектров фотоэлектронов при надпороговой фотоэмиссии составных наноантенн под воздействием фемтосекундных лазерных импульсов. Его использование перспективно для создания эффективных компактных источников высокоэнергетических аттосекундных электронных пучков и ультракоротких импульсов рентгеновского диапазона.
- Выполнена серия работ в области квантовой и квазиклассической динамики и лазерного управления электронными переходами в атомно-молекулярных системах со многими степенями свободы при их взаимодействии с фемтосекундными и аттосекундными импульсами.
- Предложены новые механизмы электрон-ионной рекомбинации и разработана кинетика релаксации электронного возбуждения в рекомбинационно-неравновесной плазме. Дано объяснение обнаруженных экспериментально аномально высоких скоростей рекомбинации в плазме смеси инертных газов He/Xe.
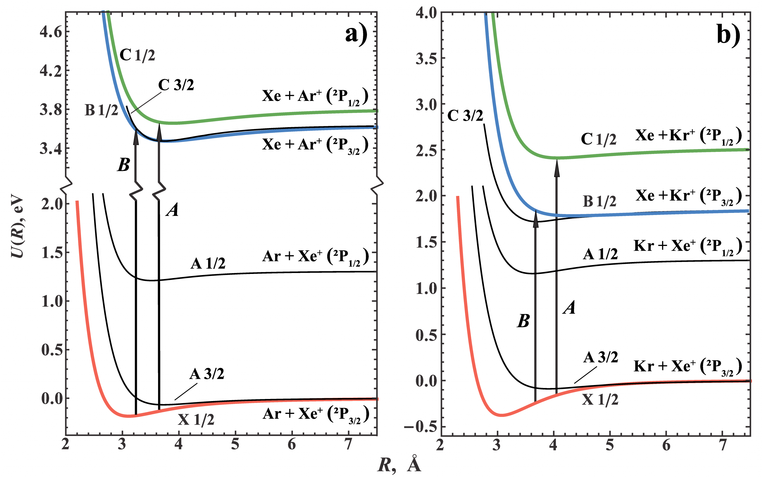
- Создана квантовая теория неадиабатических фотопереходов с участием состояний непрерывного спектра атомно-молекулярных систем, в том числе иона H2+, а также слабосвязанных и умеренносвязанных гетероядерных ионов инертных газов RgXe+, Rg=He, Ne, Ar, Kr. Установлена их важная роль в звездных атмосферах и в плазме смесей инертных газов.
- Разработана теория радиационной перезарядки в атомно-молекулярных системах с участием гетероядерных ионов инертных газов.
- Построена самосогласованная теория ионизации и неупругих столкновений ридберговских атомов с нейтральными частицами, впервые позволившая объяснить широкий комплекс экспериментально наблюдаемых явлений в спектроскопии и кинетике плазмы и в физике скрещенных атомно-лазерных пучков.
- Разработана квантовая теория уширения спектральных линий ридберговских серий атомов в процессах неупругого потенциального и резонансного рассеяния. Впервые дано количественное объяснение уникальных экспериментов по обнаружению аномально больших ширин высоковозбужденных атомных уровней, возмущенных атомами щелочных металлов.
- Предложены и реализованы оригинальные спектроскопические методы определения параметров низкоэнергетических резонансов и сверхмалых энергий связи отрицательных ионов.
- Созданы теоретические методы и компьютерные программы для исследования процессов взаимодействия тяжёлых атомов и ионов с газовыми, твердотельными и плазменными средами.
- Создана теория и компьютерные программы для расчёта эффективных сечений и вероятностей многоэлектронной ионизации тяжёлых и сверхтяжёлых атомов многозарядными ионами.
- Развит теоретический метод и компьютерные программы для расчета сечений перезарядки и ионизации в адиабатическом подходе для медленных столкновений атомов вольфрама с ионами изотопов водорода.
- Разработана полуклассическая модель для описания процессов перезарядки при столкновениях фуллеренов с многозарядными ионами, позволяющая надежно описывать процессы многоэлектронного переноса.
Избранные статьи
Нанофотоника, наноплазмоника, фемтоэлектроника и оптика гибридных и квантоворазмерных систем
- В. С. Лебедев, А. Д. Кондорский, Оптика плазмон-экситонных наноструктур: теоретические модели и физические явления в системах металл/J-агрегат, Успехи физических наук, Том 195, № 1, c. 50-93 (2025). DOI: 10.3367/UFNr.2024.08.039742
- С.С. Моритака, А.В. Мекшун, В.С. Лебедев, Спектры поглощения и рассеяния света гибридными нанооболочками полупроводник/металл/J-агрегат, Квантовая электроника, Т. 54, № 8, с. 501–510 (2024). DOI: 10.3103/S1068335624602632
- С.С. Моритака, В.С. Лебедев, Анализ спектров экстинкции и режимов ближнепольной электромагнитной связи в плекситонных наночастицах в модели связанных осцилляторов, Квантовая электроника, Т. 54, № 6, с. 362–370 (2024). DOI: 10.3103/S1068335624602279
- A. D. Kondorskiy, Optical spectra of plasmon–exciton core–shell nanoparticles: an anisotropic classical model eliminates discrepancies in experiments, Chinese Optics Letters, Vol. 22., No. 9., P. 093602 (2024). DOI 10.3788/COL202422.093602
- S. S. Moritaka, V. S. Lebedev, Orientational effects in the polarized absorption spectra of molecular aggregates, Journal of Chemical Physics, Vol. 160, P. 074901 (2024). DOI: 10.1063/5.0188128
- S. S. Moritaka, V. S. Lebedev, Extended Analytical Model for the Description of Light Absorption Spectra of Linear Molecular Aggregates, JETP Letters, Vol. 118, No 11, pp. 792–799 (2023). DOI: 10.1134/S0021364023603512
- A.D. Kondorskiy, S. S. Moritaka, and V. S. Lebedev, Manifestation of the anisotropic properties of the molecular J-aggregate shell in the optical spectra of plexcitonic nanoparticles, Optics Express, Vol. 30, No. 3, pp. 4600-4614 (2022). DOI: 10.1364/OE.446184
- A. D. Kondorskiy, Threshold Effect in the Photoemission of Composite Nanoantennas Irradiated by Intense Femtosecond Laser Pulses, JETP Letters, Vol. 112, No 11, pp. 699-704 (2020) DOI: 10.1134/S0021364020230071
- A.D. Kondorskiy and V.S. Lebedev, Spectral-band replication phenomenon in a single pair of hybrid metal-organic nanospheres and nanodisks caused by plexcitonic coupling, Optics Express, Vol. 27, No. 8, 11783-11799 (2019). DOI: 10.1364/OE.27.011783
- B.I. Shapiro, A.D. Nekrasov, E.V. Manulik, V.S. Krivobok, and V.S. Lebedev, Optical and photoelectric properties of multichromic cyanine dye J-aggregates, Quantum Electronics, Vol. 48, No 9, 856 – 866 (2018). DOI: 10.1070/QEL16758
- B.I. Shapiro, A.D. Nekrasov, V.S. Krivobok, and V.S. Lebedev, Optical properties of molecular nanocrystals consisting of J-aggregates of anionic and cationic cyanine dyes, Optics Express, Vol. 26, No 23, pp. 30324–30337 (2018). DOI: 10.1364/OE.26.030324
- A.D. Kondorskiy and V.S. Lebedev, Effects of near-field electromagnetic coupling in dimers of nanoparticles with a silver core and a J-aggregate dye shell, Quantum Electronics, Vol. 48, No 11, 1035-1042 (2018). DOI: 10.1070/QEL16777
- V. S. Krivobok, S. N. Nikolaev, A. V. Novikov, M. V. Shaleev, V. S. Bagaev, E. E. Onishchenko, V. S. Lebedev, M. L. Skorikov, E. V. Utsina, M. V. Kochiev, Plasmonic enhancement of four-particle radiative recombination in SiGe quantum wells, JETP Letters, Vol. 104, Issue 4, pp 231–235 (2016)]DOI: 10.1134/S0021364016160086
- A. G. Vitukhnovsky, V. S. Lebedev, A. S. Selyukov, A. A. Vashchenko, R. B. Vasiliev, and M. S. Sokolikova, Electroluminescence from Colloidal Semiconductor Nanoplatelets CdSe in Hybrid Organic-Inorganic Light Emitting Diode, Chemical Physics Letters, Vol. 619, pp. 185-188 (2015). DOI: 10.1016/j.cplett.2014.12.002
- B.I. Shapiro, E.S. Tyshkunova, A.D. Kondorskiy, V.S. Lebedev, Light absorption and plasmon – exciton interaction in three-layer nanorods with a gold core and outer shell composed of molecular J- and H-aggregates of dyes, Quantum Electronics, Vol. 45, No 12, pp. 1153–1160 (2015) DOI: 10.1070/QE2015v045n12ABEH015869
- V. S. Krivobok, S. N. Nikolaev, V. S. Bagaev, V. S. Lebedev, and E. E. Onishchenko, Superradiance of a degenerate exciton gas in semiconductors with indirect fundamental absorption edge, JETP Letters, Vol. 100, Issue 5, pp 306-310 (2014) DOI: 10.1134/S0021364014170081
- A.A. Vashchenko, A.G. Vitukhnovskii, V.S. Lebedev, A.S. Selukov, R.B. Vasiliev, and M.S. Sokolikova, Organic Light_Emitting Diode with an Emitter Based on a Planar Layer of CdSe Semiconductor Nanoplatelets, JETP Letters, Vol. 100, No. 2, pp. 86–90 (2014) DOI: 10.1134/S0021364014140124
- V.S. Lebedev and A.S. Medvedev, Optical properties of three-layer metal-organic nanoparticles with a molecular J-aggregate shell,Quantum Electronics, Vol. 43, No 11, pp. 1065–1077 (2013) DOI: 10.1070/QE2013v043n11ABEH015180
- V.S. Lebedev and A.S. Medvedev, Plasmon-exciton coupling effects in light absorption and scattering by metal/J-aggregate bilayer nanoparticles, Quantum Electronics, Vol. 42, No 8, pp. 701-713 (2012) DOI: 10.1070/QE2012v042n08ABEH014833
- A.A. Vashchenko, V.S. Lebedev, A.G. Vitukhnovskii, R.B. Vasiliev, and I.G. Samatov, Electroluminescence of CdSe/CdS Quantum Dots and the Transfer of the Exciton Excitation Energy, JETP Letters, Vol. 96, No 2, pp. 113–117 (2012) DOI: 10.1134/S1063782613070245
Физика слабосвязанных и экзотических атомно-молекулярных систем
- A. A. Narits, K. S. Kislov, V. S. Lebedev, Light absorption and emission by weakly bound heteronuclear molecular ions in the superlinear crossing transition regime. The example of NeXe+, Journal of Chemical Physics, Vol. 164, No 5, 054314 (2026). DOI: 10.1063/5.0314598
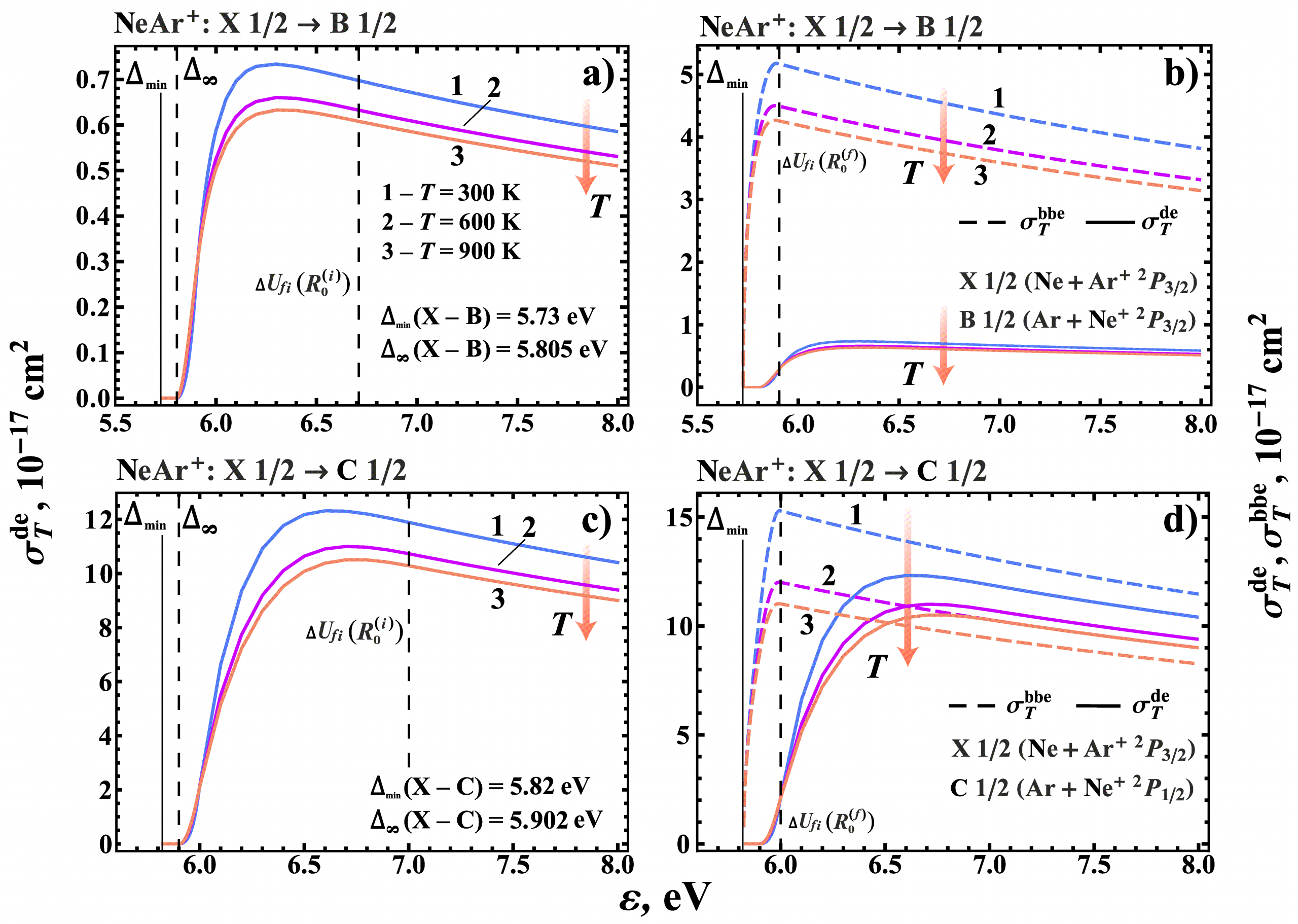
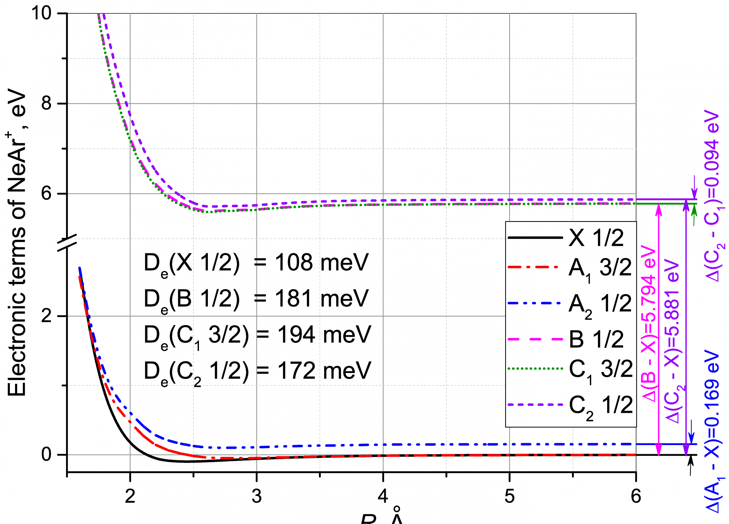
- A. Narits, K. Kislov, V. Lebedev, Charge Transfer Excitations of NeAr+ Ions in Collisions with Electrons, Atoms, 12, P. 67 (2024). DOI: 10.3390/atoms12120067
- В.С. Лебедев, А.А. Нариц, К.С. Кислов, Сравнительный анализ эффективности различных каналов фотопоглощения молекулярных ионов NeAr+, связанного с переходами в состояние ArNe+, Квантовая электроника, Том 54, № 6, сс. 371-380 (2024). DOI 10.3103/S1068335624602425
- A. A. Narits, K. S. Kislov, and V. S. Lebedev, Electron-Impact Excitation and Dissociation of Heavy Rare Gas Heteronuclear Ions via Transitions to Charge Transfer States, Atoms, Vol. 11, No. 3, 60 (2023). DOI: 10.3390/atoms11030060
- A.A. Narits, K.S. Kislov, and V.S. Lebedev, Continuous absorption and emission of light by the heteronuclear rare gas (ArXe)+ and (KrXe)+ ions, Journal of Chemical Physics, Vol. 157, No 20, 204307 (2022). DOI: 10.1063/5.0118068
- В. С. Лебедев, К. С. Кислов, А. А. Нариц, “Фотопоглощение и диссоциация электронным ударом молекулярных ионов ArXe+ и KrXe+”, Квантовая электроника, Том 52, No 12, pp. 1129-1145 (2022).
- A.A. Narits, K.S. Kislov, and V.S. Lebedev, Semiclassical Theory of Resonant Dissociative Excitation of Molecular Ions by Electron Impact, Journal of Physics B: At. Mol. Opt. Phys. Vol. 53, No 19, 195201 (2020). DOI: 10.1088/1361-6455/aba3a7
- V.S. Lebedev, K.S. Kislov, and A.A. Narits, Resonant Electron Capture by Ions into Rydberg States of Atoms, Journal of Experimental and Theoretical Physics, Vol. 130, No. 4, pp. 483–498, (2020). DOI:10.1134/S1063776120030152
- V.S. Lebedev, K.S. Kislov, and A.A. Narits, Rydberg states population via three-body and dissociative recombination in low-temperature plasmas of rare gas mixtures, Plasma Sources Science and Technology, Volume 29, Number 2, 025002 (17pp) (2020). DOI: 10.1088/1361-6595/ab652f
- K. Sarka, S. O. Danielache, A. Kondorskiy, S. Nanbu, Theoretical study of electronic properties and isotope effects in the UV absorption spectrum of disulfur, Chemical Physics, Volume 516, Pages 108-115 (2019) DOI: 10.1016/j.chemphys.2017.03.005
- V.S. Lebedev, K.S. Kislov, A.A. Narits, Strong Enhancement of Electron–Ion Recombination Owing to Free–Bound and Bound–Bound Resonance Transitions, JETP Letters, Vol. 108, No. 9, pp. 582–587 (2018). DOI:10.1134/S0021364018210087
- A.A. Narits, E.S. Mironchuk, and V.S. Lebedev, Resonant quenching of Rydberg atomic states by highly polar molecules, Journal of Physics B: At. Mol. Opt. Phys., Vol. 49, No 12, 124001 (2016) 15 pages DOI: 10.1088/0953-4075/49/12/124001
- E. S. Mironchuk, A. A. Narits, and V. S. Lebedev,Interaction of Rydberg Atoms in Circular States with the Alkaline-Earth Ca(4s2) and Sr(5s2) Atoms, Journal of Experimental and Theoretical Physics, Vol. 121, No. 5, pp. 799–812 (2015). DOI: 10.1134/S1063776115110060
- E.S. Mironchuk, A.A. Narits, and V.S. Lebedev, Collisional destruction of circular Rydberg states by atoms with small electron affinities, The European Physical Journal D, Vol. 68, 368, 11 pages, (2014).DOI: 10.1140/epjd/e2014-50460-4
- A.A. Narits, E.S. Mironchuk, and V.S. Lebedev, Comparative studies of ion-pair formation and resonant quenching processes in collisions of Rydberg atoms with the alkaline-earth atoms, Journal of Physics B: At. Mol. Opt. Phys., Vol. 47,No 1, 015202 (2014) DOI: 10.1088/0953-4075/47/1/015202
- V.S. Lebedev and A.A. Narits, Long-range interaction effects in a formation of dipole-bound anions induced by collisions of Rydberg atoms with polar molecules, Chemical Physics Letters, Vol. 582, pp. 10-14 (2013). DOI: 10.1016/j.cplett.2013.07.024
- V.S. Lebedev and A.A. Narits, Transfer of a Weakly Bound Electron in Collisions of Rydberg Atoms with Neutral Particles. I. Long-Range Interaction Effects in the Ionic–Covalent Coupling, Journal of Experimental and Theoretical Physics, Vol. 117, No 4, pp. 593-606 (2013) DOI: 10.1134/S1063776113100154
- A.A. Narits, E.S. Mironchuk, and V.S. Lebedev, Transfer of a Weakly Bound Electron in Collisions of Rydberg Atoms with Neutral Particles. II. Ion-Pair Formation and Resonant Quenching of the Rb(nl) and Ne(nl) States by Ca, Sr, and Ba Atoms, Journal of Experimental and Theoretical Physics, Vol. 117, No 4, pp. 607-622 (2013) DOI: 10.1134/S1063776113100051
Физика многозарядных ионов и пучков заряженных частиц
- Толстихина И., Шевелько В. Процессы ионизации и перезарядки при столкновении протонов с атомами сверхтяжёлых элементов, Письма в ЖЭТФ, Т. 120, №11, с. 850-855 (2024). DOI 10.31857/S0370274X24120057
- Tolstikhina I., Shevelko V. Equilibrium charge-state fractions and average charges of low-charged Hf, W and Os ions passing through He target at ion energies E = 0.5–25 keV/u, Nuclear Instruments and Methods in Physics Research Section B, Vol. 549., P. 165282 (2024). DOI 10.1016/j.nimb.2024.165282
- Tolstikhina I., Shevelko V. Average charges of superheavy Fl (Z=114), Mc (Z=115), Lv (Z=116) and Ts (Z=117) ions passing through He-gas target at ion energies 𝐸 = 0.25 – 300 keV/u, Nuclear Instruments and Methods in Physics Research Section B, Vol. 554, P. 165418 (2024). DOI 10.1016/j.nimb.2024.165418
- Goryaev F., Tolstikhina I., Shevelko V. On violation of the Bragg’s additivity rule for single-electron capture by positive ions from H2 molecules, Nuclear Instruments and Methods in Physics Research Section B, Vol. 549, P. 165268 (2024). DOI 10.1016/j.nimb.2024.165268
- И.Ю. Толстихина, В.П. Шевелько, Атомные процессы с участием многозарядных ионов, Успехи физических наук, Т. 193, № 12, P. 1249–1283 (2023). DOI: 10.3367/UFNr.2022.12.039289
- Andreev, G.I., Bychkov, V.L. & Shevelko, V.P. Interaction of Heavy Ion Beams with Plasma Electrons: Role of Many-Electron Ionization Processes. JETP Letters, Vol. 117, P. 435–440 (2023). DOI: 10.1134/S0021364023600362
- Inga Yu. Tolstikhina, M. Imai, V.P. Shevelko, Mechanisms of non-adiabatic charge-exchange transitions in slow collisions of W ions with He, Ar and Kr atoms, Nuclear Instruments and Methods in Physics Research Section B, Vol. 535, P. 241-246 (2023). DOI: 10.1016/j.nimb.2022.12.017.
- M. Imai, I. Yu. Tolstikhina, V.P. Shevelko, Stripping features of 2-MeV/u sulfur-ion beams penetrating carbon foils, Nuclear Instruments and Methods in Physics Research Section B: Beam Interactions with Materials and Atoms, Volume 520, Pages 13-21 (2022). DOI: 10.1016/j.nimb.2022.03.015
- F. M. Kroeger, G. Weber, S. Hirlaender, R. Alemany-Fernandez, M. W. Krasny, Th. Stoehlker, I.Yu. Tolstikhina, and V.P. Shevelko, Charge-state distributions of highly charged lead ions at relativistic collision energies, Annalen der Physik (Berlin), Vol. 534, No 3, 2100245 (2021) DOI: 10.1002/andp.202100245
- Inga Yu. Tolstikhina, S.N. Andreev, L.A. Vainshtein, and V.P. Shevelko. Role of dielectronic recombination in the interaction of fast heavy-ion beams with cold plasmas, Journal of Quantitative Spectroscopy & Radiative Transfer 246, 106944 (2020). DOI: 10.1016/j.jqsrt.2020.106944
- V.P. Shevelko, N. Winckler, and I.Yu. Tolstikhina, Charge-state distributions of relativistic gold-ion beams stripped by foils. Phys. Rev. A Vol. 101, 012704 (2020) DOI: 10.1103/PhysRevA.101.012704
- P.V.Borisyuk, N.N.Kolachevsky, A.V.Taichenachev, E.V.Tkalya, I.Yu.Tolstikhina, V.I.Yudin, Excitation of the low-energy Th229m isomer in the electron bridge process via the continuum, Phys. Rev. C 100 4, 044306 (2020) DOI: 101103/PhysRevC.100.044306
- Ph.O. Khabanov, L.G. Eliseev , A.V. Melnikov, M.A. Drabinskija, C. Hidalgo, N.K. Kharchev, A.A. Chmyga, A.S. Kozachek, I. Pastor, J.L. de Pablos, A. Cappa and V. P. Shevelko, Density profile reconstruction using HIBP in ECRH plasmas in the TJ-II stellarator, JINST (J. of Instrumentation), 2019, Journal of Instrumentation, 14(09):C09033-C09033 · September 2019 DOI: 10.1088/1748-0221/14/09/C09033
- В.В. Бородич, О.И. Мешков, С.В. Синяткин, И.Ю. Толстихина, А.В. Тузиков, В.П. Шевелько, Н. Уинклер, Динамика зарядовых состояний релятивистских пучков ионов золота при прохождении через Cu и Au фольги в проекте NICA. ЖЭТФ, 2019, Vol. 156, No. 3, pp. 419–427. [Dynamics of Charge States of Relativistic Gold Ion Beams Passing through Cu and Au Foils in the NICA Project Journal of Experimental and Theoretical Physics, 2019, Vol. 129, No. 3, pp. 349–356]. DOI: 10.1134/S1063776119080120
- F.M. Kröger G. Weber V.P. Shevelko S. Hirlaender M.W. Krasny Th. Stöhlker, Charge-state tailoring of relativistic heavy ion beams for the Gamma Factory Project at CERN. X-ray Spectrometry, Vol. 49(1), 25-28, (2020). https://doi.org/10.1002/xrs.3039
- I.Yu. Tolstikhina, V.P. Shevelko, Inêuence of atomic processes on charge states and fractions of fast heavy ions passing through gaseous, solid, and plasma targets, Physics – Uspekhi 61 (3) (2018) DOI: 10.3367/UFNe.2017.02.038071
- V.P. Shevelko, Yu. A. Litvinov, Th. Stöhlker, I. Yu. Tolstikhina, Lifetimes of relativistic heavy-ion beams in the High Energy Storage Ring of FAIR, Nuclear Inst, and Methods in Physics Research B 421 (2018) 45–49 DOI: 10.1016/j.nimb.2018.02.012
Кандидатские диссертации выпускников кафедры “Квантовая радиофизика” МФТИ, выполненные в лаборатории
- Кислов Константин Сергеевич, “Резонансные процессы неадиабатического обмена энергии электронов и фотонов с молекулярными ионами в плазме инертных газов” Диссертация на соискание ученой степени кандидата физико-математических наук по специальности Оптика – 01.04.05. Дата защиты: 7 декабря 2020 г.
- Нгуен Тхань Лам, “Эффекты формы в спектрах поглощения и рассеяния света металлоорганическими наноструктурами” Диссертация на соискание ученой степени кандидата физико-математических наук по специальности Оптика – 01.04.05. Дата защиты: 19 июня 2020 г.
- Мирончук Елена Сергеевна, “Резонансное тушение ридберговских состояний атомов нейтральными частицами с малым сродством к электрону ” Диссертация на соискание ученой степени кандидата физико-математических наук по специальности Оптика – 01.04.05. Дата защиты: 17 октября 2016 года
- Медведев Антон Сергеевич, «Теоретическое исследование спектров поглощения и рассеяния света гибридными металлоорганическими наночастицами». Диссертация на соискание ученой степени кандидата физико-математических наук по специальности Оптика – 01.04.05. Дата защиты: 28 октября 2013 г.
Названия тем кандидатских диссертаций, выполняемых в настоящее время
- С.С. Моритака, “Нелинейно-оптические свойства наноструктур, содержащих молекулярные агрегаты красителей” (научный руководитель В.С. Лебедев)
- А.В. Мекшун, “Фотоотрыв и перенос электрона в процессах с участием слабосвязанных отрицательных ионов” (научный руководитель В.С. Лебедев)
Магистерские диссертации
- Моритака Сергей Сэидзирович, “Расширенная модель для описания нелинейно-оптических эффектов при взаимодействии молекулярных агрегатов с лазерными импульсами различной длительности”
- Мекшун Арсений Владимирович, “Обобщение формулы квазистатического приближения для дипольной поляризуемости наночастиц”
- Кожина Елизавета Павловна, “Исследование оптических свойств вытянутых плазмонных наноструктур на металлических подложках методом спектроскопии поверхностно-усиленного комбинационного рассеяния”
- Понкратов Григорий Олегович, “Плазмонное усиление люминесценции кремний-германиевых гетерострукетур”
- Лам Нгуен Тхань, “Влияние оптических свойств органических оболочек на спектры металлоорганических наноструктур и их групп”
Бакалаврские диссертации
- Баринов Леонид Андреевич, “Расчет параметра электрон-электронного взаимодействия и автоионизационных ширин ридберговских уровней в гетероядерных системах ArXe++e и KrXe+”
- Казыдуб Денис Алексеевич, “Анализ влияния различных типов неравновесных функций распределения электронов на скорости электрон-ионной рекомбинации плазмы смесей инертных газов Ar/Xe и Kr/Xe”
- Васбикарамов Айрат Ильшатович, “Образование ионной пары при столкновениях ридберговских атомов с молекулами CH3CH2CN и (CH3)3CCN”
- Зеленеев Андрей Илдарович, «Исследование спектральных характеристик металлических нанооболочек, покрытых J-агрегатами красителей»
Научно-организационная и преподавательская деятельность
- В. С. Лебедев:
- Руководитель Отделения оптики ФИАН.
- Заведующий кафедрой “Квантовая радиофизика” МФТИ. Читает курсы лекций базового цикла «Теория излучения» и «Актуальные проблемы нанооптики».
- Председатель Ученого совета Отделения оптики ФИАН. Член Ученого совета ФИАН, двух диссертационных советов при ФИАН и ИОФАН.
- Член экспертного совета ВАК РФ по физике.
- Член редколлегии журнала “Квантовая электроника“
- Эксперт научно-технической сферы в РИНКЦЭ.
- Член редакционной коллегии журнала ”Физическое образование в вузах”.
- А. Д. Кондорский:
- Заместитель руководителя Отделения оптики ФИАН, старший научный сотрудник.
- Доцент кафедры “Квантовая радиофизика” МФТИ.
- А.А.Нариц:
- Старший научный сотрудник ФИАН.
- Доцент кафедры “Квантовая радиофизика” МФТИ. Читает курсы лекций базового цикла “Молекулярная спектроскопия”, “Физика наноструктур” и “Взаимодействие излучения с веществом”.
- Руководитель общеинститутского аспирантского семинара ФИАН.
- Член редколлегии журнала “Краткие сообщения по физике ФИАН”
- И.Ю.Толстихина:
- Представитель России в комитете Атомные и молекулярные данные для термоядерных исследований, МАГАТЭ, Вена, Австрия https://www-amdis.iaea.org/IFRC/
- Координатор сотрудничества ФИАН-УЭК(Япония)-МФТИ
- В.П. Шевелько:
- Член корпуса экспертов по естественным наукам (физика) http://experts.itp.ac.ru/science/experts/branch/atom-phys/all
- 2006 – till present – A member of International Committee for Atomic and Molecular Data (ICAMDATA)
- К.С. Кислов
- Учёный секретарь Отделения оптики ФИАН
- Заместитель заведующего кафедрой Квантовой радиофизики. Читает курсы лекций «Компьютерная фотоника и квантовая механика». Ведет лабораторный практикум «Квантовая оптика»
Фотогалерея





























Контакты
Email: vlebedev@lebedev.ru Phone: +7 (499) 135-20-28